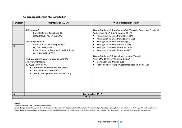
SVP_MA_Kunstgeschichte_EB_Museumsstudien_2024.pdf SVP_MA_Kunstgeschichte_EB_Museumsstudien_2024.pdf application/pdf application/pdf Size 176.2 KB Herunterladen